日本研究小组正在尝试通过胃蛋白酶合成新型生物尼龙
塑联官方账号目前可用的传统尼龙,如尼龙6、尼龙66和尼龙11是不可降解的。另一方面,从衣康酸中提取的生物尼龙显示出比传统尼龙更高的性能,并可在土壤中降解,但其通过消化酶的降解性尚未得到证实。
塑联网据悉,为了解决这些问题,来自日本先进科学技术研究所(JAIST)的一个研究小组正在研究使用通过胃蛋白酶合成新型生物尼龙。他们由Tatsuo Kaneko教授和Mohammad Asif Ali博士领导,最新研究发表在2021年4月的《先进可持续系统》上。
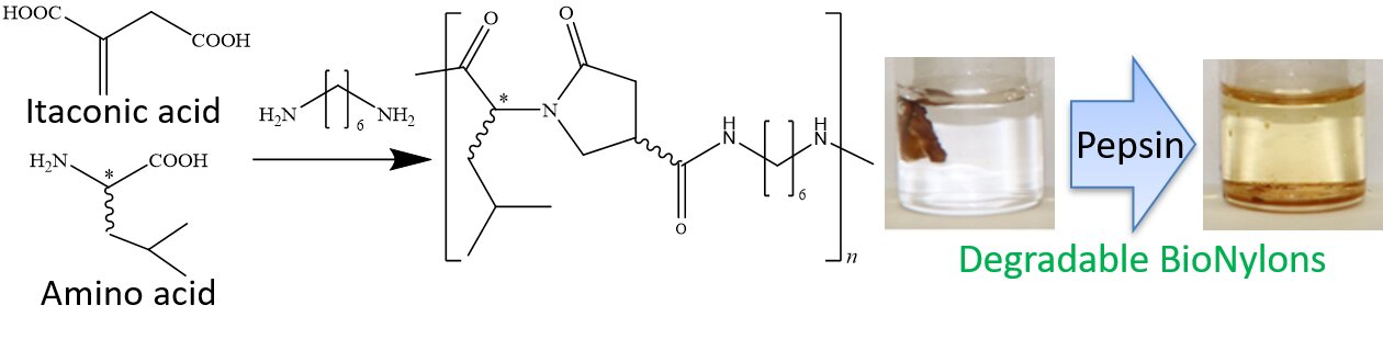
在这项研究中,生物尼龙的合成是基于从可再生衣康酸和氨基酸(D-或L-亮氨酸)中提取的化学开发的新型手性二羧酸。此外,生物尼龙是通过六亚甲基二胺与手性交互的杂环二酸单体的熔融缩聚制备的,如图所示:

手性相互作用来自于外消旋吡咯烷酮环的非对映体混合物和亮氨酸的手性氨基酸。因此,聚酰胺显示出约117℃的玻璃转化温度和约213℃的熔化温度,这比传统的生物尼龙11(Tg约57℃)高。这些生物尼龙还显示出较高的杨氏模量E和机械强度σ,分别为2.2-3.8GPa和86-108MPa。
这种材料可以作为传统尼龙的替代品用于渔网、绳索、降落伞和包装材料。包括肽连接的生物尼龙显示出用胃蛋白酶进行的酶促降解,胃蛋白酶是在哺乳动物胃中发现的一种消化酶。胃蛋白酶的降解可以与海洋哺乳动物胃中的生物降解联系起来。这种通过控制手性的高性能尼龙的创新分子设计可以为可持续的、负碳的工业和通过减轻重量来节约能源作出贡献。
来源:环球聚氨酯网,如侵删














